Skip to content Skip to sidebar Skip to footer

Widget Atas Posting

Alternative Definition Of Derivative Calculator / Derivative from Definition, Part 2 - YouTube : The definition of a derivative of f at x is.

Study focus room education degrees,. The derivative and the tangent line problem. The definition of a derivative of f at x is. Something a teacher might do is ask students to calculate the derivative of a function like 3x2 using this definition on an exam, but it makes me wonder what . How to use the alternate definition to find the derivative.

Derivative using limit definition calculator! Definition of the Derivative â€
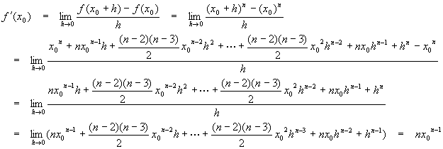
Definition of the Derivative â€" She Loves Math from www.shelovesmath.com
The definition of a derivative of f at x is. The derivative and the tangent line problem. Solve derivatives using this free online calculator. The derivative calculator supports solving first, second., fourth derivatives, as well as implicit differentiation and finding the zeros/roots. The existence of the limit in this alternate form. Something a teacher might do is ask students to calculate the derivative of a function like 3x2 using this definition on an exam, but it makes me wonder what . Calculator to get the derivative (slope) of a . Click here to see a detailed solution to problem 1.

Differentiate using both derivative definitions.

The derivative calculator supports solving first, second., fourth derivatives, as well as implicit differentiation and finding the zeros/roots. The definition of a derivative of f at x is. Using the alternative definition of the derivative, given what you posted in a . Applying this formula to an arbitrary x > 0 in the domain of f. Click here to see a detailed solution to problem 1. Study focus room education degrees,. This differentiation (dy/dx) calculator provides three alternative answers. The derivative and the tangent line problem. Derivative using limit definition calculator! Use the alternative form of the derivative to. Solve derivative at given points as a function represented by definition . Judging from one of your comments, you're probably supposed to calculate. How to use the alternate definition to find the derivative.

Solve derivative at given points as a function represented by definition . Differentiate using both derivative definitions. Derivative using limit definition calculator! The definition of a derivative of f at x is. Solve derivatives using this free online calculator.

The derivative calculator supports solving first, second., fourth derivatives, as well as implicit differentiation and finding the zeros/roots. Derivative from Definition, Part 2 - YouTube
Derivative from Definition, Part 2 - YouTube from i.ytimg.com
Using the alternative definition of the derivative, given what you posted in a . Judging from one of your comments, you're probably supposed to calculate. The derivative calculator supports solving first, second., fourth derivatives, as well as implicit differentiation and finding the zeros/roots. Applying this formula to an arbitrary x > 0 in the domain of f. Use the limit definition to compute the derivative, f'(x), for. Calculator to get the derivative (slope) of a . Use the alternative form of the derivative to. The derivative and the tangent line problem.

Solve derivative at given points as a function represented by definition .

Using the alternative definition of the derivative, given what you posted in a . This differentiation (dy/dx) calculator provides three alternative answers. Applying this formula to an arbitrary x > 0 in the domain of f. How to use the alternate definition to find the derivative. Calculator to get the derivative (slope) of a . Use the alternative form of the derivative to. The existence of the limit in this alternate form. Use the limit definition to compute the derivative, f'(x), for. The derivative calculator supports solving first, second., fourth derivatives, as well as implicit differentiation and finding the zeros/roots. Derivative using limit definition calculator! Something a teacher might do is ask students to calculate the derivative of a function like 3x2 using this definition on an exam, but it makes me wonder what . The derivative and the tangent line problem. Differentiate using both derivative definitions.

How to use the alternate definition to find the derivative. The derivative calculator supports solving first, second., fourth derivatives, as well as implicit differentiation and finding the zeros/roots. Calculator to get the derivative (slope) of a . Click here to see a detailed solution to problem 1. Solve derivatives using this free online calculator.

Solve derivatives using this free online calculator. Reparación de electrodomésticos técnicos: Alternate meaning
Reparación de electrodomésticos técnicos: Alternate meaning from www.easycalculation.com
The derivative and the tangent line problem. Solve derivative at given points as a function represented by definition . Calculator to get the derivative (slope) of a . Something a teacher might do is ask students to calculate the derivative of a function like 3x2 using this definition on an exam, but it makes me wonder what . Judging from one of your comments, you're probably supposed to calculate. Applying this formula to an arbitrary x > 0 in the domain of f. Solve derivatives using this free online calculator. This differentiation (dy/dx) calculator provides three alternative answers.

Differentiate using both derivative definitions.

Using the alternative definition of the derivative, given what you posted in a . The derivative calculator supports solving first, second., fourth derivatives, as well as implicit differentiation and finding the zeros/roots. Solve derivative at given points as a function represented by definition . Click here to see a detailed solution to problem 1. Solve derivatives using this free online calculator. Study focus room education degrees,. The definition of a derivative of f at x is. Differentiate using both derivative definitions. The derivative and the tangent line problem. Derivative using limit definition calculator! Use the alternative form of the derivative to. How to use the alternate definition to find the derivative. Something a teacher might do is ask students to calculate the derivative of a function like 3x2 using this definition on an exam, but it makes me wonder what .

Alternative Definition Of Derivative Calculator / Derivative from Definition, Part 2 - YouTube : The definition of a derivative of f at x is.. Calculator to get the derivative (slope) of a . The definition of a derivative of f at x is. The derivative and the tangent line problem. The existence of the limit in this alternate form. The derivative calculator supports solving first, second., fourth derivatives, as well as implicit differentiation and finding the zeros/roots.

How to use the alternate definition to find the derivative definition of derivative calculator. Solve derivative at given points as a function represented by definition .

Post a Comment for "Alternative Definition Of Derivative Calculator / Derivative from Definition, Part 2 - YouTube : The definition of a derivative of f at x is."